SciencekiStudyy

Header Ads Widget

SciencekiStudyy
  • HOME
  • FLUID MECHANICS
  • MECHANICS
  • THERMODYNAMICS
  • IC ENGINE
  • STRENGTH OF MATERIAL
  • PHYSICS
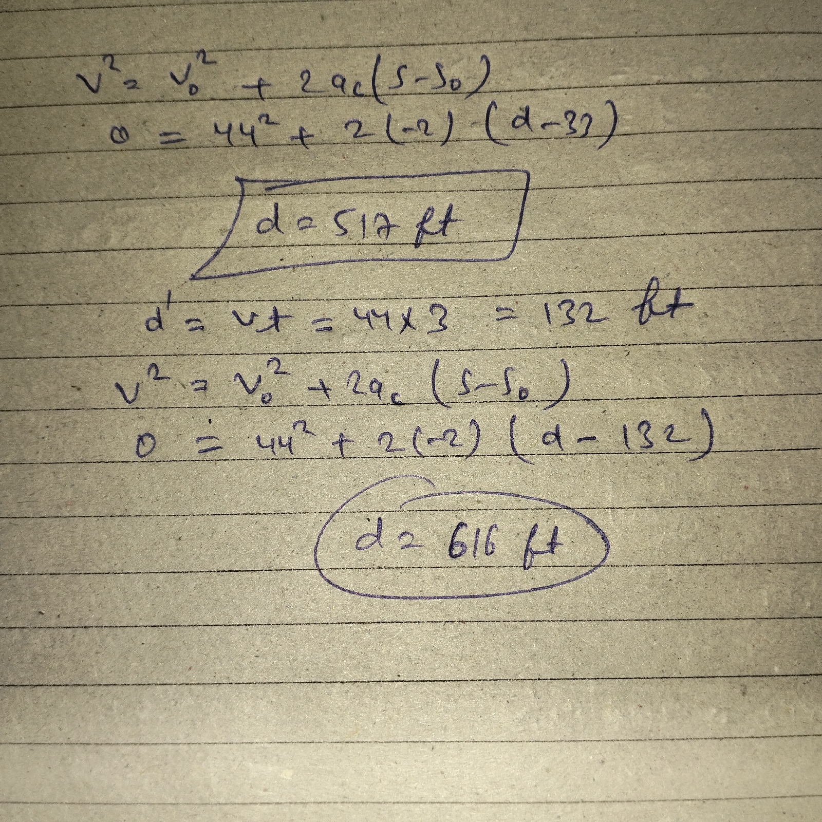
HomeMECHANICSTests reveal that a normal driver takes about 0.75 s before he or she can react to a situation to avoid a collision. It takes about 3 s for a driver having 0.1% alcohol in his system to do the same. If such drivers are traveling on a straight road at 30 mph (44ft / s) and their cars can decelerate at 2ft / (s ^ 2) determine the shortest stopping distance d for each from the moment they see the pedestrians. Moral: If you must drink, please don't drive!

Tests reveal that a normal driver takes about 0.75 s before he or she can react to a situation to avoid a collision. It takes about 3 s for a driver having 0.1% alcohol in his system to do the same. If such drivers are traveling on a straight road at 30 mph (44ft / s) and their cars can decelerate at 2ft / (s ^ 2) determine the shortest stopping distance d for each from the moment they see the pedestrians. Moral: If you must drink, please don't drive!

sciencekistudyy September 25, 2022






Tags:
MECHANICS

Post a Comment

0 Comments

Contact US

Name

Email *

Message *

Search Question HERE.....

Ask your Question????????

Name

Email *

Message *

Labels

  • FLUID MECHANICS
  • IC Engine
  • material science
  • MECHANICS
  • PHYSICS
  • strength of materials
  • thermodynamics

Report Abuse

Popular Posts

SciencekiStudyy

Pages

  • Home
  • PRIVACY POLICY
  • ABOUT US
  • CONTACT US
Crafted with by TemplatesYard | Distributed by Gooyaabi Templates